Menu principale:

Chi determina il sesso? Il sesso biologico è determinato, alla fecondazione, dai due genitori e, nella specie umana, i cromosomi sessuali sono X e Y. Quindi se lo spermatozoo maschile ha un cromosoma X nascera una femmina, mentre se ha un cromosoma Y nascerà un maschio in quanto il sesso biologico femminile è XX mentre il sesso biologico maschile è XY. Si parla sempre di sesso biologico che può essere diverso dal sesso fenotipico per le ragioni che esporremo successivamente.
In alcuni casi, rari, il sesso fenotipico ( sono i genitali esterni) non corrisponde al sesso biologico e quindi uno potrebbe essere femmina come organi genitali esterni ( caratteri secondari) ma maschio neglio organi interni e quindi infecondo. Vediamo ora come si determina e sviluppa il sesso all'atto della fecondazione e nei primi tre mesi di vita intrauterina.
Qui illustrato abbiamo la rappresentazione schematica dei cromosomi X e Y e su quest'ultimo abbiamo un gene che si chiama TDF in grado di trasformare il primordio della gonade in testicolo, quindi dare vita a un maschio. Nel caso di XX non avendo questo gene lo sviluppo della gonade è di tipo femminile quindi in ovaio. A questo punto abbiamo tutta una sequenza di modificazioni che porteranno alla nascita di un neonato formato in senso femminile ( deafault) oppure maschile e vediamo come.
Sul lato destro della figura abbiamo una alterazione riproduttiva ( che può essere naturale oppure effettuata da uno sperimentatore su cavie) dove il gene TDF viene ricombinato su un cromosoma X con notevoli ripercussini sul genere fenotipico. 
A seguito della azione del TDF il testicolo fa degenerare il dotto di Muller, che genererebbe l'apparato sessuale femminile, e fa sviluppare il dotto di Wolff che svilupperà l'apparate genitale maschile. Infatti il tescolo produce testosterone che porta alla creazione degli organi sessuali maschile e che alla pubertà darà origine a tutti i caratteri secondari tipici del maschio. In assenza del TDF non c'è sviluppo del testicolo e quindi non c'è produzione di testosterone e quindi si sviluperà il dotto di Muller e quindi l'apparato genitole femminile. L'apparato genetale femminile è di deafault quindi il TDF induce una serie di modificazioni strutturali in organi che di natura sono bipotenti.
L'MIH è l'ormone che fa regredire il dotto di Muller e quindi permette lo sviluppo del sesso maschile. In assenza del gene TDF a seguito di una anomolia della riproduzione gametica ( ricombinazione meiotica) abbiamo che si sviluppa il testicolo in quanto sui cromosomi XX è presente il TDF produce organi interni maschili ma anzichè avere il testosterone abbiamo il deidrotestorene che induce la formazione di organi esterni fimminili e organi interni maschili. Alla nascita verrà classificata come femmina ma in realtà, giunta alla pubertà sviluppera una serie di caratteri secondori maschili come la barba oppiure una pelosità eccessiva e sarà amenorroica. A seguito di una analisi genetica si scoprirà che è maschio anche se non del tutto formato.
Qui sopra abbiamo una tavola riassuntiva di quanto fino adesso detto.
Si può sviluppare anche una insensibilità agli androgeni e allora vediamo cosa succede:
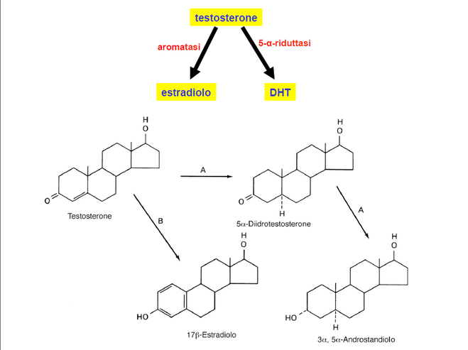
abbiamo che anzichè formarsi il testosterone si forma il deidrotestosterone che è simile ma con un atomo di H in più e quindi anzichè formare l'estradiolo formerà il 3,5 alfa androstandiolo e vedremo che cosa farà.
Lo stesso dicasi per la mancanza della riduttasi. Si formeranno geneitali esterni di un tipo e genitai interni di un altro genere.
Qui sotto riporto la tabella delle disfunzioni genetiche
Nel caso di alta esposizione ad ormoni maschili si ha una mascolinizzazione delle femmine, mentre se c'è una alta esposizione ad ormini femminili allora si ha una femminilizzazione dei maschi e questo è noto dalla notte dei tempi agli allevatori. Si chiama martinismo.